Ruta crítica

Definición

La ruta crítica de un proyecto es la secuencia de actividades que determinan la duración mínima necesaria para completar el proyecto, razón por la cual no deben retrasarse o extenderse en el tiempo, ya que cualquier retraso en una actividad de la ruta crítica afectará directamente la fecha de finalización del proyecto.

Proceso ejemplo

Dado que la ruta crítica es particular a cada proyecto, no se cuenta con una plantilla, por lo que se explica a manera de ejemplo.

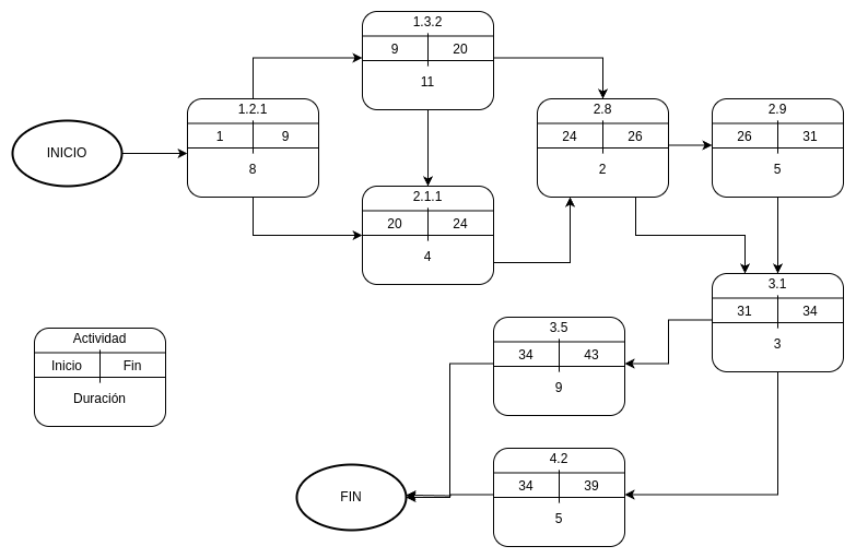
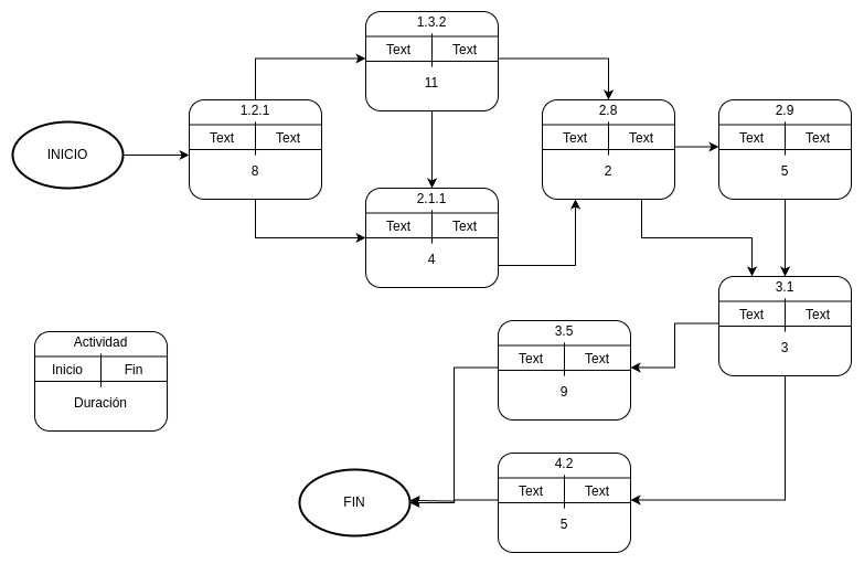
  1. En un diagrama de grafos, identifíquense las dependencias de actividades. En la parte superior indíquese la tarea, para en el renglón inferior la fecha de inicio y finalización estimada de la actividad (se ha utilizado el número de día y no la fecha para su mejor comprensión). En la parte inferior se encontrará el número de días que dura la actividad. diagrama dependencias
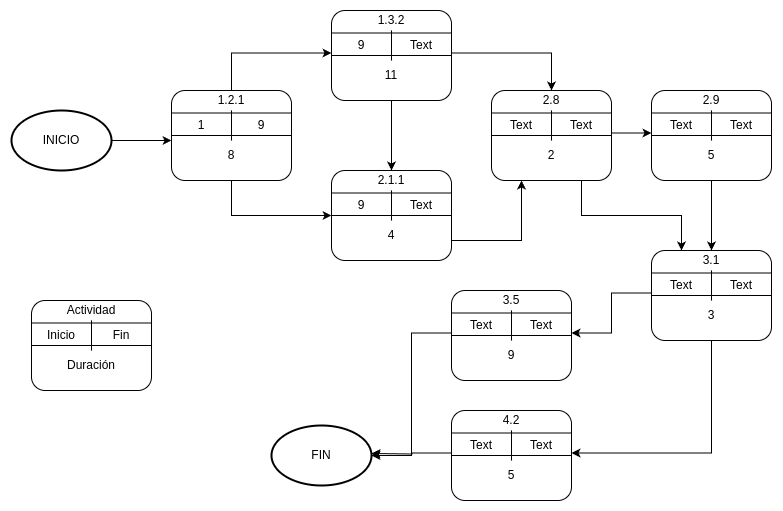
  2. Partiendo del inicio, índíquense la fecha de inicio y finalización de las primeras tareas. En este caso, la actividad 1.2.1 inicia el dia 1 y finaliza el 9, ya que tiene una duración de 8 días. calculo inicio y fin actividades iniciales
  3. A continuación se indica la fecha en que iniciarían las siguientes actividades. En este caso las actividades 1.3.2 y 2.1.1 iniciarían el día 9, una vez que acabó la actividad 1.2.1. calculo inicio siguientes actividades
  4. Nuevamente hacemos el cálculo de las siguientes fechas de terminación de las nuevas actividades. En este caso el día 20 para la 1.3.2, y día 13 para la 2.1.1. calculo fin siguientes actividades
  5. Pero si observamos, la actividad 2.1.1 también depende de la 1.3.2, por lo que no puede iniciar el día 9, sino hasta el 20 que es cuando acaba la actividad 1.3.2, por lo cual es necesario corregirla. ajustar fechas de acuerdo a dependencia
  6. Así entonces, la actividad 2.8 no puede iniciar hasta que no se termine la actividad 2.1.1, lo cual sería el día 24, terminando el día 26. ajustar fechas de acuerdo a dependencia
  7. Se repite con el resto de los nodos. repetir para el resto de los nodos
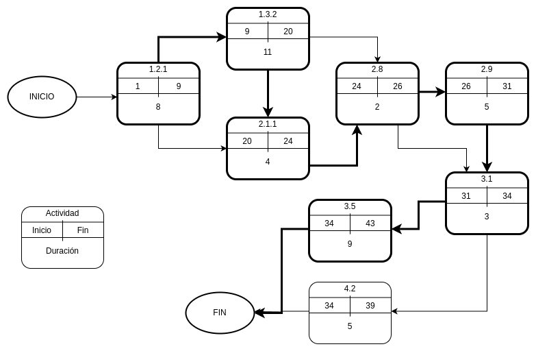
  8. Así entonces, con base a las actividades que determinan los tiempos críticos, se obtiene la ruta crítica. Un retraso en cualquiera de ellas, atrasaría el proyecto. En nuestro caso, solo una actividad no forma parte de esta. identificar ruta crítica